党团园地

畅游算法世界,感受算法魅力——第十二届蓝桥杯省赛

发布者:系统管理员发布时间:2021-04-29浏览次数:148

    软件开发工作室在寒假期间,通过层层考核在校内选拔出11名同学参加江苏省蓝桥杯省赛这11位同学通过一个月的算法练习我们在4月18日于南京交通职业技术学院参加蓝桥杯算法省赛。



    比赛前一周指导老师刘娴老师强调算法基础和介绍了一些考试特殊的小技巧。通过考场上四个小时的努力大部分同学都认为题目十分简单相比于前一个月刷的题目考试的题目都比较简单预测考试不错。


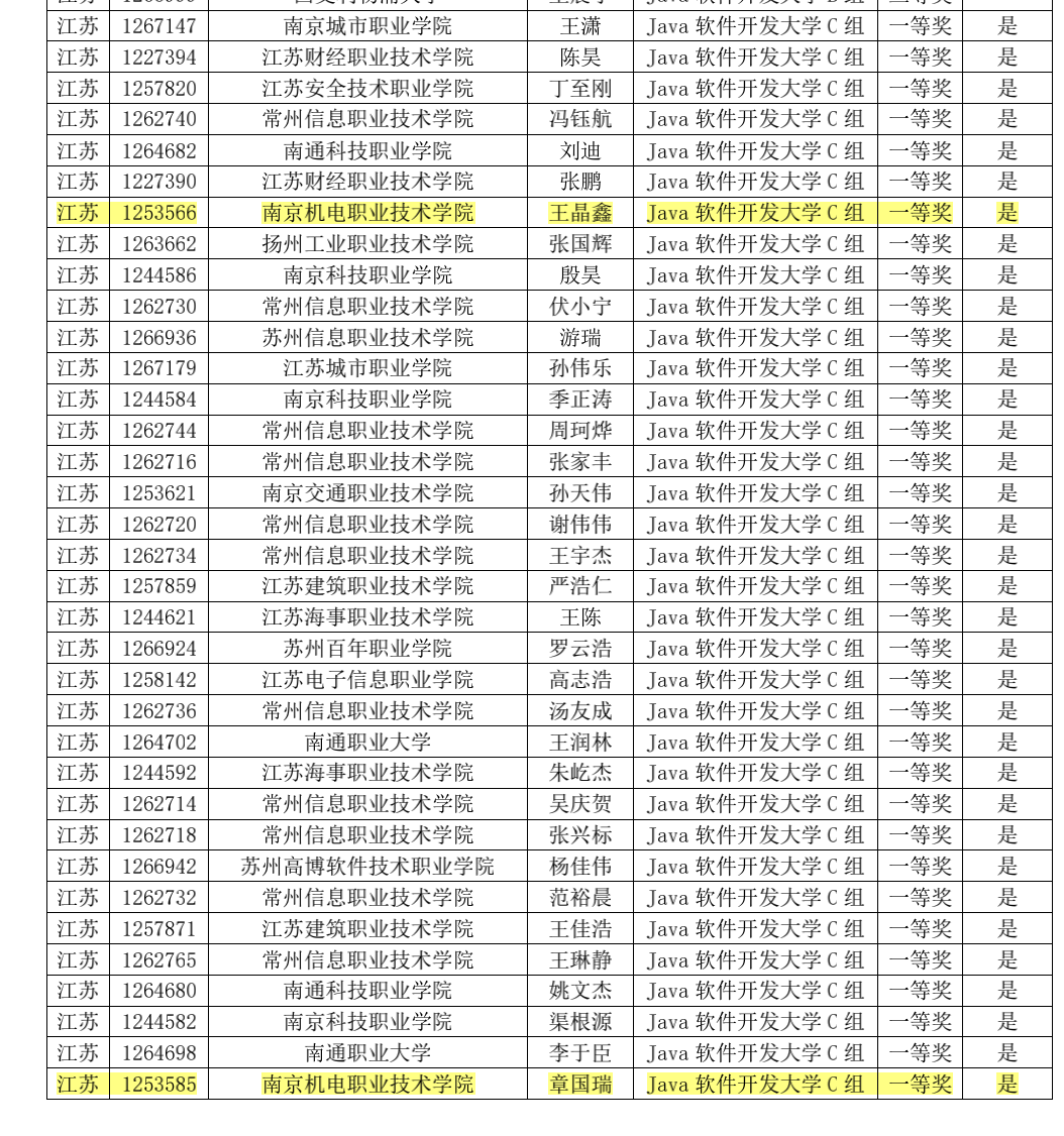
    蓝桥杯比赛成绩于4月28日在官网发布我校于十二届蓝桥杯软件类C组比赛再创辉煌11人参赛7人获奖其中王晶鑫章国瑞同学获得一等奖获得了去北京参加蓝桥杯国赛的机会陈志飞获得二等奖谢兴铧杨宇涵邹文章郑卫获得三等奖的好成绩。


[ 关闭 ]