乐投线上平台(集团)官方网站
校长邮箱
书记邮箱
信息公开
资源下载
管理员
融合门户
联系方式
导航
乐投线上平台(集团)官方网站
学校概况
学校简介
历史沿革
现任领导
三风一训
学校标识
学校风貌
全景展示
机构设置
管理部门
党委工作部
党委宣传部
校长办公室
纪委办公室
人事处
财务处
教务处
学生工作处
团 委
保卫处
后勤处
培训处
质量管理与控制办公室
图书馆
科研及校企合作处
校友工作办公室
资产管理处(招投标管...
审计处
关工委
教学部门
信息工程系
机械工程系
电子工程系
人文社科系
自动化工程系
蓝岛创客空间
智能制造学院
继续教育学院
马克思主义学院
体 育 部
党群在线
党建工作
工会工作
教育教学
教学平台
教务系统
学生工作
科普教研
科普活动
科研动态
招生就业
招生信息网
就业信息网
学校文化
机电校报
学生社团
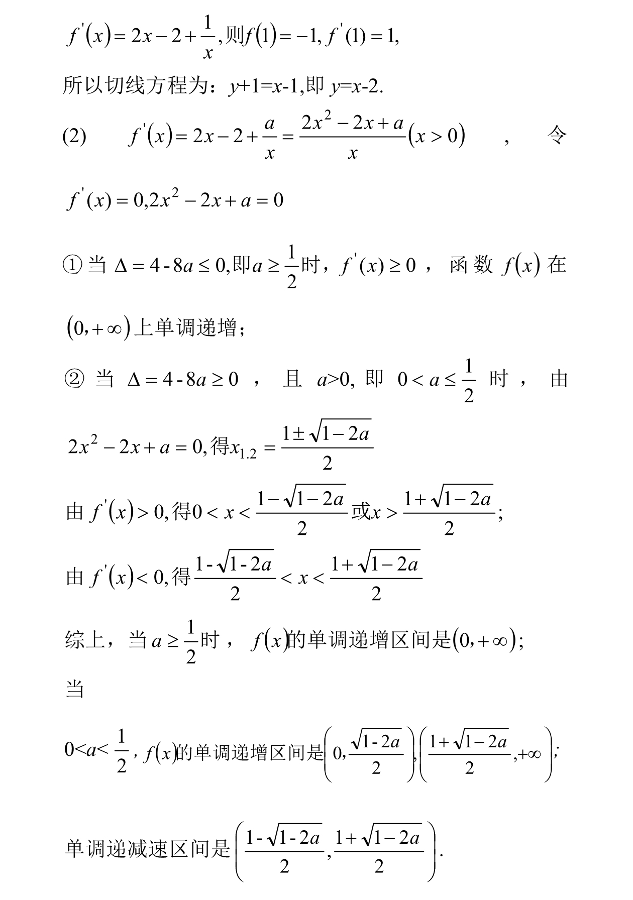
2019年江苏省提前招生真题卷(数学)
发布部门:
发布时间:2020-04-07
浏览次数:
81
点击下载
2019年江苏省提前招生真题卷(数学)
关闭
爱体育网页版
|
爱体育网页版登录入口
|
乐投线上平台(集团)官方网站
|
江南在线注册
|
乐鱼网页版登录入口_乐鱼(中国)
|
乐鱼平台
|
江南在线登录
|
kaiyun体育sports_(KY Sports)(中国)官方网站
|
开云线上官网
|